



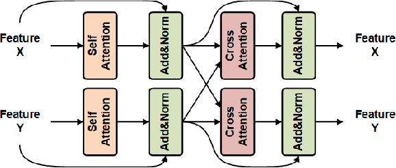
Point cloud registration plays a crucial role in various computer vision tasks, and usually demands the resolution of partial overlap registration in practice. Most existing methods perform a serial calculation of rotation and translation, while jointly predicting overlap during registration, this coupling tends to degenerate the registration performance. In this paper, we propose an effective registration method with dual branches decoupling for partial-to-partial registration, dubbed as DBDNet. Specifically, we introduce a dual branches structure to eliminate mutual interference error between rotation and translation by separately creating two individual correspondence matrices. For partial-to-partial registration, we consider overlap prediction as a preordering task before the registration procedure. Accordingly, we present an overlap predictor that benefits from explicit feature interaction, which is achieved by the powerful attention mechanism to accurately predict pointwise masks. Furthermore, we design a multi-resolution feature extraction network to capture both local and global patterns thus enhancing both overlap prediction and registration module. Experimental results on both synthetic and real datasets validate the effectiveness of our proposed method.