



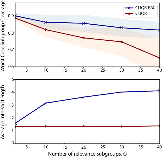
We develop a predictive inference procedure that combines conformal prediction (CP) with unconditional quantile regression (QR) -- a commonly used tool in econometrics that involves regressing the recentered influence function (RIF) of the quantile functional over input covariates. Unlike the more widely-known conditional QR, unconditional QR explicitly captures the impact of changes in covariate distribution on the quantiles of the marginal distribution of outcomes. Leveraging this property, our procedure issues adaptive predictive intervals with localized frequentist coverage guarantees. It operates by fitting a machine learning model for the RIFs using training data, and then applying the CP procedure for any test covariate with respect to a ``hypothetical'' covariate distribution localized around the new instance. Experiments show that our procedure is adaptive to heteroscedasticity, provides transparent coverage guarantees that are relevant to the test instance at hand, and performs competitively with existing methods in terms of efficiency.