


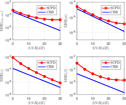
We consider the problem of downlink channel estimation for intelligent reflecting surface (IRS)-assisted millimeter Wave (mmWave) orthogonal frequency division multiplexing (OFDM) systems. By exploring the inherent sparse scattering characteristics of mmWave channels, we show that the received signals can be expressed as a low-rank third-order tensor that admits a tensor rank decomposition, also known as canonical polyadic decomposition (CPD). A structured CPD-based method is then developed to estimate the channel parameters. Our analysis reveals that the training overhead required by our proposed method is as low as O(U^2), where U denotes the sparsity of the cascade channel. Simulation results are provided to illustrate the efficiency of the proposed method.