



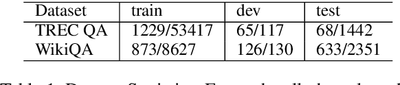
This paper seeks to model human language by the mathematical framework of quantum physics. With the well-designed mathematical formulations in quantum physics, this framework unifies different linguistic units in a single complex-valued vector space, e.g. words as particles in quantum states and sentences as mixed systems. A complex-valued network is built to implement this framework for semantic matching. With well-constrained complex-valued components, the network admits interpretations to explicit physical meanings. The proposed complex-valued network for matching (CNM) achieves comparable performances to strong CNN and RNN baselines on two benchmarking question answering (QA) datasets.