



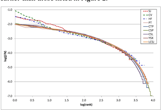
We collect 14 representative corpora for major periods in Chinese history in this study. These corpora include poetic works produced in several dynasties, novels of the Ming and Qing dynasties, and essays and news reports written in modern Chinese. The time span of these corpora ranges between 1046 BCE and 2007 CE. We analyze their character and word distributions from the viewpoint of the Zipf's law, and look for factors that affect the deviations and similarities between their Zipfian curves. Genres and epochs demonstrated their influences in our analyses. Specifically, the character distributions for poetic works of between 618 CE and 1644 CE exhibit striking similarity. In addition, although texts of the same dynasty may tend to use the same set of characters, their character distributions still deviate from each other.