



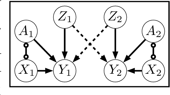
Most approaches in algorithmic fairness constrain machine learning methods so the resulting predictions satisfy one of several intuitive notions of fairness. While this may help private companies comply with non-discrimination laws or avoid negative publicity, we believe it is often too little, too late. By the time the training data is collected, individuals in disadvantaged groups have already suffered from discrimination and lost opportunities due to factors out of their control. In the present work we focus instead on interventions such as a new public policy, and in particular, how to maximize their positive effects while improving the fairness of the overall system. We use causal methods to model the effects of interventions, allowing for potential interference--each individual's outcome may depend on who else receives the intervention. We demonstrate this with an example of allocating a budget of teaching resources using a dataset of schools in New York City.