



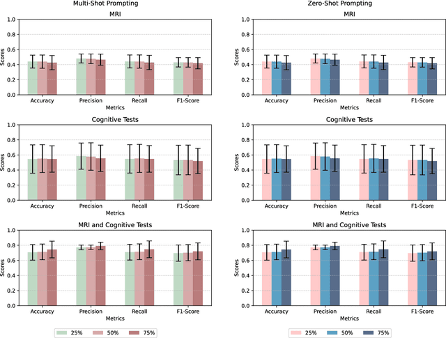
Can ChatGPT diagnose Alzheimer's Disease (AD)? AD is a devastating neurodegenerative condition that affects approximately 1 in 9 individuals aged 65 and older, profoundly impairing memory and cognitive function. This paper utilises 9300 electronic health records (EHRs) with data from Magnetic Resonance Imaging (MRI) and cognitive tests to address an intriguing question: As a general-purpose task solver, can ChatGPT accurately detect AD using EHRs? We present an in-depth evaluation of ChatGPT using a black-box approach with zero-shot and multi-shot methods. This study unlocks ChatGPT's capability to analyse MRI and cognitive test results, as well as its potential as a diagnostic tool for AD. By automating aspects of the diagnostic process, this research opens a transformative approach for the healthcare system, particularly in addressing disparities in resource-limited regions where AD specialists are scarce. Hence, it offers a foundation for a promising method for early detection, supporting individuals with timely interventions, which is paramount for Quality of Life (QoL).