



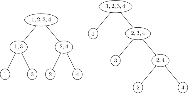
A system of nested dichotomies is a method of decomposing a multi-class problem into a collection of binary problems. Such a system recursively splits the set of classes into two subsets, and trains a binary classifier to distinguish between each subset. Even though ensembles of nested dichotomies with random structure have been shown to perform well in practice, using a more sophisticated class subset selection method can be used to improve classification accuracy. We investigate an approach to this problem called random-pair selection, and evaluate its effectiveness compared to other published methods of subset selection. We show that our method outperforms other methods in many cases when forming ensembles of nested dichotomies, and is at least on par in all other cases.