



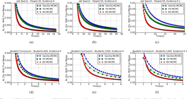
One popular way for lifted inference in probabilistic graphical models is to first merge symmetric states into a single cluster (orbit) and then use these for downstream inference, via variations of orbital MCMC [Niepert, 2012]. These orbits are represented compactly using permutations over variables, and variable-value (VV) pairs, but they can miss several state symmetries in a domain. We define the notion of permutations over block-value (BV) pairs, where a block is a set of variables. BV strictly generalizes VV symmetries, and can compute many more symmetries for increasing block sizes. To operationalize use of BV permutations in lifted inference, we describe 1) an algorithm to compute BV permutations given a block partition of the variables, 2) BV-MCMC, an extension of orbital MCMC that can sample from BV orbits, and 3) a heuristic to suggest good block partitions. Our experiments show that BV-MCMC can mix much faster compared to vanilla MCMC and orbital MCMC.