



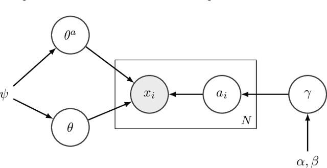
Data-driven anomaly detection methods typically build a model for the normal behavior of the target system, and score each data instance with respect to this model. A threshold is invariably needed to identify data instances with high (or low) scores as anomalies. This presents a practical limitation on the applicability of such methods, since most methods are sensitive to the choice of the threshold, and it is challenging to set optimal thresholds. We present a probabilistic framework to explicitly model the normal and anomalous behaviors and probabilistically reason about the data. An extreme value theory based formulation is proposed to model the anomalous behavior as the extremes of the normal behavior. As a specific instantiation, a joint non-parametric clustering and anomaly detection algorithm (INCAD) is proposed that models the normal behavior as a Dirichlet Process Mixture Model. A pseudo-Gibbs sampling based strategy is used for inference. Results on a variety of data sets show that the proposed method provides effective clustering and anomaly detection without requiring strong initialization and thresholding parameters.