



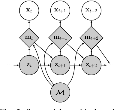
We propose to learn a stochastic recurrent model to solve the problem of simultaneous localisation and mapping (SLAM). Our model is a deep variational Bayes filter augmented with a latent global variable---similar to an external memory component---representing the spatially structured environment. Reasoning about the pose of an agent and the map of the environment is then naturally expressed as posterior inference in the resulting generative model. We evaluate the method on a set of randomly generated mazes which are traversed by an agent equipped with laser range finders. Path integration based on an accurate motion model is consistently outperformed, and most importantly, drift practically eliminated. Our approach inherits favourable properties from neural networks, such as differentiability, flexibility and the ability to train components either in isolation or end-to-end.