



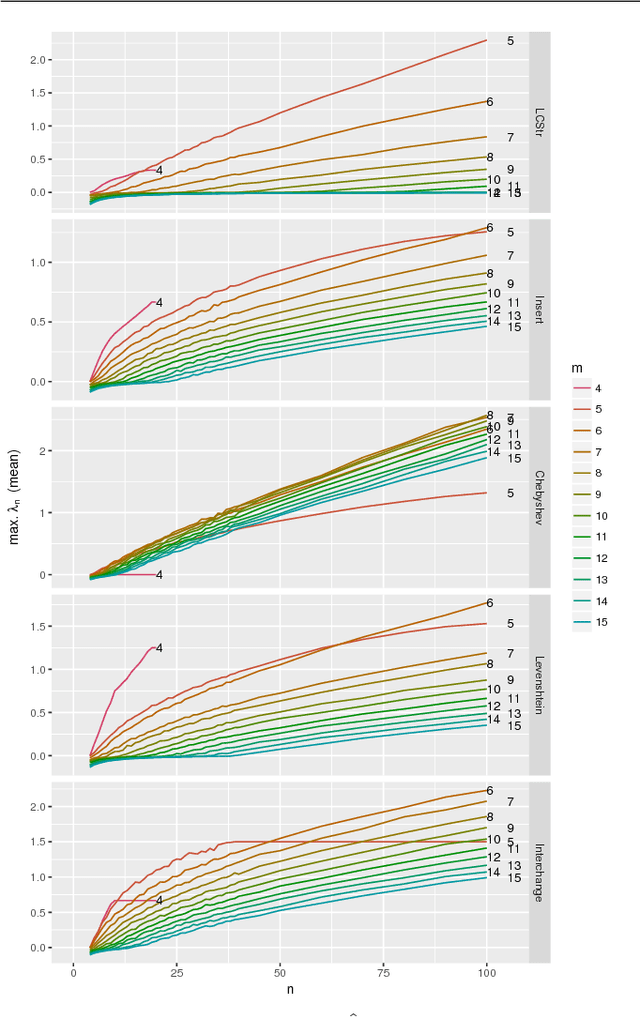
Models like support vector machines or Gaussian process regression often require positive semi-definite kernels. These kernels may be based on distance functions. While definiteness is proven for common distances and kernels, a proof for a new kernel may require too much time and effort for users who simply aim at practical usage. Furthermore, designing definite distances or kernels may be equally intricate. Finally, models can be enabled to use indefinite kernels. This may deteriorate the accuracy or computational cost of the model. Hence, an efficient method to determine definiteness is required. We propose an empirical approach. We show that sampling as well as optimization with an evolutionary algorithm may be employed to determine definiteness. We provide a proof-of-concept with 16 different distance measures for permutations. Our approach allows to disprove definiteness if a respective counter-example is found. It can also provide an estimate of how likely it is to obtain indefinite kernel matrices. This provides a simple, efficient tool to decide whether additional effort should be spent on designing/selecting a more suitable kernel or algorithm.