



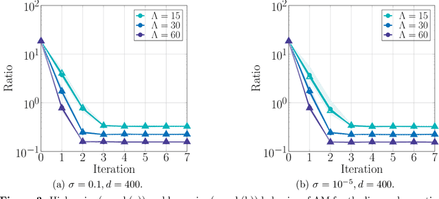
We consider the problem of estimating the factors of a rank-$1$ matrix with i.i.d. Gaussian, rank-$1$ measurements that are nonlinearly transformed and corrupted by noise. Considering two prototypical choices for the nonlinearity, we study the convergence properties of a natural alternating update rule for this nonconvex optimization problem starting from a random initialization. We show sharp convergence guarantees for a sample-split version of the algorithm by deriving a deterministic recursion that is accurate even in high-dimensional problems. Notably, while the infinite-sample population update is uninformative and suggests exact recovery in a single step, the algorithm -- and our deterministic prediction -- converges geometrically fast from a random initialization. Our sharp, non-asymptotic analysis also exposes several other fine-grained properties of this problem, including how the nonlinearity and noise level affect convergence behavior. On a technical level, our results are enabled by showing that the empirical error recursion can be predicted by our deterministic sequence within fluctuations of the order $n^{-1/2}$ when each iteration is run with $n$ observations. Our technique leverages leave-one-out tools originating in the literature on high-dimensional $M$-estimation and provides an avenue for sharply analyzing higher-order iterative algorithms from a random initialization in other high-dimensional optimization problems with random data.