



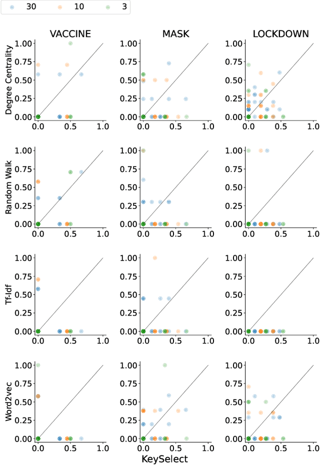
How can we study social interactions on evolving topics at a mass scale? Over the past decade, researchers from diverse fields such as economics, political science, and public health have often done this by querying Twitter's public API endpoints with hand-picked topical keywords to search or stream discussions. However, despite the API's accessibility, it remains difficult to select and update keywords to collect high-quality data relevant to topics of interest. In this paper, we propose an active learning method for rapidly refining query keywords to increase both the yielded topic relevance and dataset size. We leverage a large open-source COVID-19 Twitter dataset to illustrate the applicability of our method in tracking Tweets around the key sub-topics of Vaccine, Mask, and Lockdown. Our experiments show that our method achieves an average topic-related keyword recall 2x higher than baselines. We open-source our code along with a web interface for keyword selection to make data collection from Twitter more systematic for researchers.