
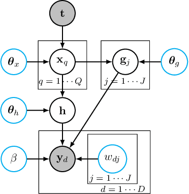
In order to better model high-dimensional sequential data, we propose a collaborative multi-output Gaussian process dynamical system (CGPDS), which is a novel variant of GPDSs. The proposed model assumes that the output on each dimension is controlled by a shared global latent process and a private local latent process. Thus, the dependence among different dimensions of the sequences can be captured, and the unique characteristics of each dimension of the sequences can be maintained. For training models and making prediction, we introduce inducing points and adopt stochastic variational inference methods.