



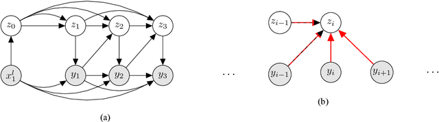
The process of translation is ambiguous, in that there are typically many valid trans- lations for a given sentence. This gives rise to significant variation in parallel cor- pora, however, most current models of machine translation do not account for this variation, instead treating the prob- lem as a deterministic process. To this end, we present a deep generative model of machine translation which incorporates a chain of latent variables, in order to ac- count for local lexical and syntactic varia- tion in parallel corpora. We provide an in- depth analysis of the pitfalls encountered in variational inference for training deep generative models. Experiments on sev- eral different language pairs demonstrate that the model consistently improves over strong baselines.