



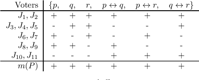
The literature on judgment aggregation is moving from studying impossibility results regarding aggregation rules towards studying specific judgment aggregation rules. Here we give a structured list of most rules that have been proposed and studied recently in the literature, together with various properties of such rules. We first focus on the majority-preservation property, which generalizes Condorcet-consistency, and identify which of the rules satisfy it. We study the inclusion relationships that hold between the rules. Finally, we consider two forms of unanimity, monotonicity, homogeneity, and reinforcement, and we identify which of the rules satisfy these properties.