



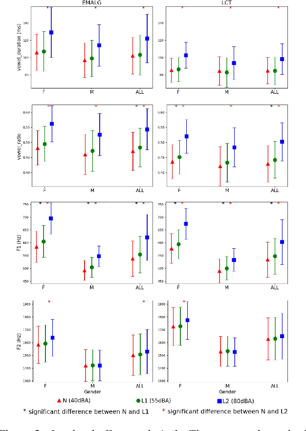
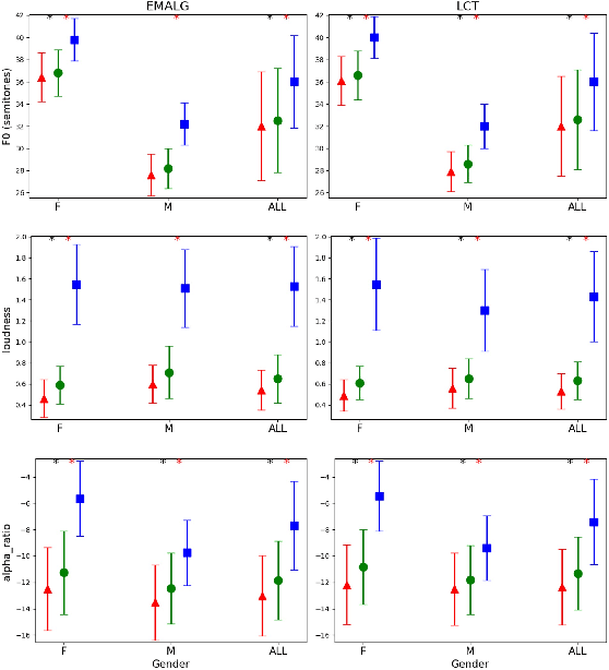
Grid sentence is commonly used for studying the Lombard effect and Normal-to-Lombard conversion. However, it's unclear if Normal-to-Lombard models trained on grid sentences are sufficient for improving natural speech intelligibility in real-world applications. This paper presents the recording of a parallel Lombard corpus (called Lombard Chinese TIMIT, LCT) extracting natural sentences from Chinese TIMIT. Then We compare natural and grid sentences in terms of Lombard effect and Normal-to-Lombard conversion using LCT and Enhanced MAndarin Lombard Grid corpus (EMALG). Through a parametric analysis of the Lombard effect, We find that as the noise level increases, both natural sentences and grid sentences exhibit similar changes in parameters, but in terms of the increase of the alpha ratio, grid sentences show a greater increase. Following a subjective intelligibility assessment across genders and Signal-to-Noise Ratios, the StarGAN model trained on EMALG consistently outperforms the model trained on LCT in terms of improving intelligibility. This superior performance may be attributed to EMALG's larger alpha ratio increase from normal to Lombard speech.