



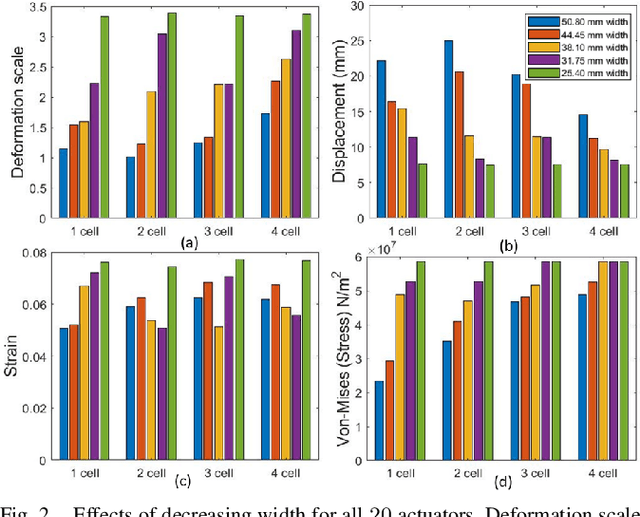
This paper presents the design and assessment of a fabric-based soft pneumatic actuator with low pressurization requirements for actuation making it suitable for upper extremity assistive devices for infants. The goal is to support shoulder abduction and adduction without prohibiting motion in other planes or obstructing elbow joint motion. First, the performance of a family of actuator designs with internal air cells is explored via simulation. The actuators are parameterized by the number of cells and their width. Physically viable actuator variants identified through the simulation are further tested via hardware experiments. Two designs are selected and tested on a custom-built physical model based on an infant's body anthropometrics. Comparisons between force exerted to lift the arm, movement smoothness, path length and maximum shoulder angle reached inform which design is better suited for its use as an actuator for pediatric wearable assistive devices, along with other insights for future work.