



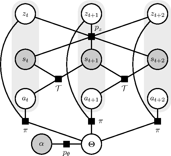
Learning from demonstration (LfD) is the process of building behavioral models of a task from demonstrations provided by an expert. These models can be used e.g. for system control by generalizing the expert demonstrations to previously unencountered situations. Most LfD methods, however, make strong assumptions about the expert behavior, e.g. they assume the existence of a deterministic optimal ground truth policy or require direct monitoring of the expert's controls, which limits their practical use as part of a general system identification framework. In this work, we consider the LfD problem in a more general setting where we allow for arbitrary stochastic expert policies, without reasoning about the optimality of the demonstrations. Following a Bayesian methodology, we model the full posterior distribution of possible expert controllers that explain the provided demonstration data. Moreover, we show that our methodology can be applied in a nonparametric context to infer the complexity of the state representation used by the expert, and to learn task-appropriate partitionings of the system state space.