



Abstract:In recent years, multimodal multiobjective optimization algorithms (MMOAs) based on evolutionary computation have been widely studied. However, existing MMOAs are mainly tested on benchmark function sets such as the 2019 IEEE Congress on Evolutionary Computation test suite (CEC 2019), and their performance on real-world problems is neglected. In this paper, two types of real-world multimodal multiobjective optimization problems in feature selection and location selection respectively are formulated. Moreover, four real-world datasets of Guangzhou, China are constructed for location selection. An investigation is conducted to evaluate the performance of seven existing MMOAs in solving these two types of real-world problems. An analysis of the experimental results explores the characteristics of the tested MMOAs, providing insights for selecting suitable MMOAs in real-world applications.




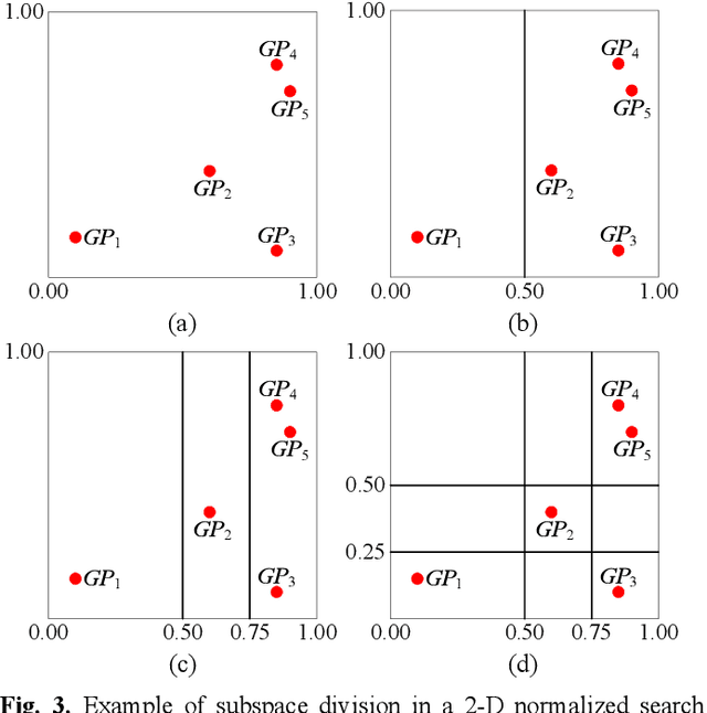
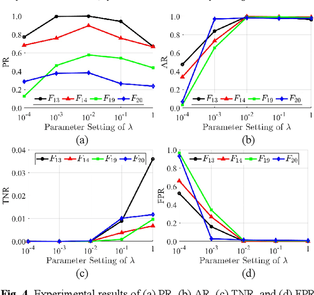
Abstract:How to simultaneously locate multiple global peaks and achieve certain accuracy on the found peaks are two key challenges in solving multimodal optimization problems (MMOPs). In this paper, a landscape-aware differential evolution (LADE) algorithm is proposed for MMOPs, which utilizes landscape knowledge to maintain sufficient diversity and provide efficient search guidance. In detail, the landscape knowledge is efficiently utilized in the following three aspects. First, a landscape-aware peak exploration helps each individual evolve adaptively to locate a peak and simulates the regions of the found peaks according to search history to avoid an individual locating a found peak. Second, a landscape-aware peak distinction distinguishes whether an individual locates a new global peak, a new local peak, or a found peak. Accuracy refinement can thus only be conducted on the global peaks to enhance the search efficiency. Third, a landscape-aware reinitialization specifies the initial position of an individual adaptively according to the distribution of the found peaks, which helps explore more peaks. The experiments are conducted on 20 widely-used benchmark MMOPs. Experimental results show that LADE obtains generally better or competitive performance compared with seven well-performed algorithms proposed recently and four winner algorithms in the IEEE CEC competitions for multimodal optimization.