



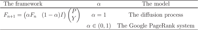
Abstract:Diffusion is a commonly used technique for spreading information from point to point on a graph. The rationale behind diffusion is not clear. And the multi-types Galton-Watson forest is a random model of population growth without space or any other resource constraints. In this paper, we use the degenerated multi-types Galton-Watson forest (MGWF) to interpret the diffusion process and establish an equivalent relationship between them. With the two-phase setting of the MGWF, one can interpret the diffusion process and the Google PageRank system explicitly. It also improves the convergence behaviour of the iterative diffusion process and Google PageRank system. We validate the proposal by experiment while providing new research directions.
