Abstract:Leveraging multimodal information from Magnetic Resonance Imaging (MRI) plays a vital role in lesion segmentation, especially for brain tumors. However, in clinical practice, multimodal MRI data are often incomplete, making it challenging to fully utilize the available information. Therefore, maximizing the utilization of this incomplete multimodal information presents a crucial research challenge. We present a novel meta-guided multi-modal learning (MGML) framework that comprises two components: meta-parameterized adaptive modality fusion and consistency regularization module. The meta-parameterized adaptive modality fusion (Meta-AMF) enables the model to effectively integrate information from multiple modalities under varying input conditions. By generating adaptive soft-label supervision signals based on the available modalities, Meta-AMF explicitly promotes more coherent multimodal fusion. In addition, the consistency regularization module enhances segmentation performance and implicitly reinforces the robustness and generalization of the overall framework. Notably, our approach does not alter the original model architecture and can be conveniently integrated into the training pipeline for end-to-end model optimization. We conducted extensive experiments on the public BraTS2020 and BraTS2023 datasets. Compared to multiple state-of-the-art methods from previous years, our method achieved superior performance. On BraTS2020, for the average Dice scores across fifteen missing modality combinations, building upon the baseline, our method obtained scores of 87.55, 79.36, and 62.67 for the whole tumor (WT), the tumor core (TC), and the enhancing tumor (ET), respectively. We have made our source code publicly available at https://github.com/worldlikerr/MGML.



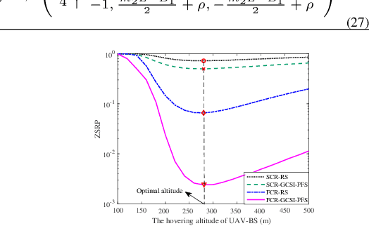
Abstract:This paper investigates a wireless network consisting of an unmanned aerial vehicle (UAV) base station (BS), a fully-connected reconfigurable intelligent surface (FC-RIS), and multiple users, where the downlink signal can simultaneously be captured by an aerial eavesdropper at a random location. To improve the physical-layer security (PLS) of the considered downlink multiuser communications, we propose the fully-connected reconfigurable intelligent surface aided round-robin scheduling (FCR-RS) and the FC-RIS and ground channel state information (CSI) aided proportional fair scheduling (FCR-GCSI-PFS) schemes. Thereafter, we derive closed-form expressions of the zero secrecy rate probability (ZSRP). Numerical results not only validate the closed-form ZSRP analysis, but also verify that the proposed GCSI-PFS scheme obtains the same performance gain as the full-CSI-aided PFS in FC-RIS-aided communications. Furthermore, optimizing the hovering altitude remarkably enhances the PLS of the FC-RIS and UAV empowered multiuser communications.




Abstract:A spectrum-sharing satellite-ground integrated network is conceived, consisting of a pair of non-geostationary orbit (NGSO) constellations and multiple terrestrial base stations, which impose the co-frequency interference (CFI) on each other. The CFI may increase upon increasing the number of satellites. To manage the potentially severe interference, we propose to rely on joint multi-domain resource aided interference management (JMDR-IM). Specifically, the coverage overlap of the constellations considered is analyzed. Then, multi-domain resources - including both the beam-domain and power-domain - are jointly utilized for managing the CFI in an overlapping coverage region. This joint resource utilization is performed by relying on our specifically designed beam-shut-off and switching based beam scheduling, as well as on long short-term memory based joint autoregressive moving average assisted deep Q network aided power scheduling. Moreover, the outage probability (OP) of the proposed JMDR-IM scheme is derived, and the asymptotic analysis of the OP is also provided. Our performance evaluations demonstrate the superiority of the proposed JMDR-IM scheme in terms of its increased throughput and reduced OP.