



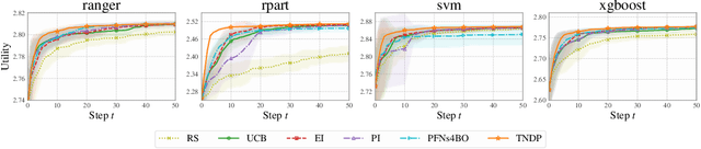
Abstract:Many critical decisions, such as personalized medical diagnoses and product pricing, are made based on insights gained from designing, observing, and analyzing a series of experiments. This highlights the crucial role of experimental design, which goes beyond merely collecting information on system parameters as in traditional Bayesian experimental design (BED), but also plays a key part in facilitating downstream decision-making. Most recent BED methods use an amortized policy network to rapidly design experiments. However, the information gathered through these methods is suboptimal for down-the-line decision-making, as the experiments are not inherently designed with downstream objectives in mind. In this paper, we present an amortized decision-aware BED framework that prioritizes maximizing downstream decision utility. We introduce a novel architecture, the Transformer Neural Decision Process (TNDP), capable of instantly proposing the next experimental design, whilst inferring the downstream decision, thus effectively amortizing both tasks within a unified workflow. We demonstrate the performance of our method across several tasks, showing that it can deliver informative designs and facilitate accurate decision-making.