



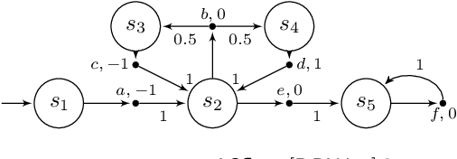
Abstract:For decades, two-player (antagonistic) games on graphs have been a framework of choice for many important problems in theoretical computer science. A notorious one is controller synthesis, which can be rephrased through the game-theoretic metaphor as the quest for a winning strategy of the system in a game against its antagonistic environment. Depending on the specification, optimal strategies might be simple or quite complex, for example having to use (possibly infinite) memory. Hence, research strives to understand which settings allow for simple strategies. In 2005, Gimbert and Zielonka provided a complete characterization of preference relations (a formal framework to model specifications and game objectives) that admit memoryless optimal strategies for both players. In the last fifteen years however, practical applications have driven the community toward games with complex or multiple objectives, where memory --- finite or infinite --- is almost always required. Despite much effort, the exact frontiers of the class of preference relations that admit finite-memory optimal strategies still elude us. In this work, we establish a complete characterization of preference relations that admit optimal strategies using arena-independent finite memory, generalizing the work of Gimbert and Zielonka to the finite-memory case. We also prove an equivalent to their celebrated corollary of utmost practical interest: if both players have optimal (arena-independent-)finite-memory strategies in all one-player games, then it is also the case in all two-player games. Finally, we pinpoint the boundaries of our results with regard to the literature: our work completely covers the case of arena-independent memory (e.g., multiple parity objectives, lower- and upper-bounded energy objectives), and paves the way to the arena-dependent case (e.g., multiple lower-bounded energy objectives).



Abstract:The window mechanism was introduced by Chatterjee et al. [1] to strengthen classical game objectives with time bounds. It permits to synthesize system controllers that exhibit acceptable behaviors within a configurable time frame, all along their infinite execution, in contrast to the traditional objectives that only require correctness of behaviors in the limit. The window concept has proved its interest in a variety of two-player zero-sum games, thanks to the ability to reason about such time bounds in system specifications, but also the increased tractability that it usually yields. In this work, we extend the window framework to stochastic environments by considering the fundamental threshold probability problem in Markov decision processes for window objectives. That is, given such an objective, we want to synthesize strategies that guarantee satisfying runs with a given probability. We solve this problem for the usual variants of window objectives, where either the time frame is set as a parameter, or we ask if such a time frame exists. We develop a generic approach for window-based objectives and instantiate it for the classical mean-payoff and parity objectives, already considered in games. Our work paves the way to a wide use of the window mechanism in stochastic models. [1] Krishnendu Chatterjee, Laurent Doyen, Mickael Randour, and Jean-Fran\c{c}ois Raskin. Looking at mean-payoff and total-payoff through windows. Inf. Comput., 242:25-52, 2015.