



Abstract:The functional significance of resting state networks and their abnormal manifestations in psychiatric disorders are firmly established, as is the importance of the cortical rhythms in mediating these networks. Resting state networks are known to undergo substantial reorganization from childhood to adulthood, but whether distinct cortical rhythms, which are generated by separable neural mechanisms and are often manifested abnormally in psychiatric conditions, mediate maturation differentially, remains unknown. Using magnetoencephalography (MEG) to map frequency band specific maturation of resting state networks from age 7 to 29 in 162 participants (31 independent), we found significant changes with age in networks mediated by the beta (13-30Hz) and gamma (31-80Hz) bands. More specifically, gamma band mediated networks followed an expected asymptotic trajectory, but beta band mediated networks followed a linear trajectory. Network integration increased with age in gamma band mediated networks, while local segregation increased with age in beta band mediated networks. Spatially, the hubs that changed in importance with age in the beta band mediated networks had relatively little overlap with those that showed the greatest changes in the gamma band mediated networks. These findings are relevant for our understanding of the neural mechanisms of cortical maturation, in both typical and atypical development.




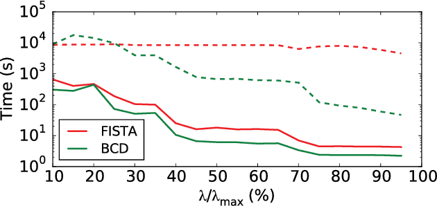
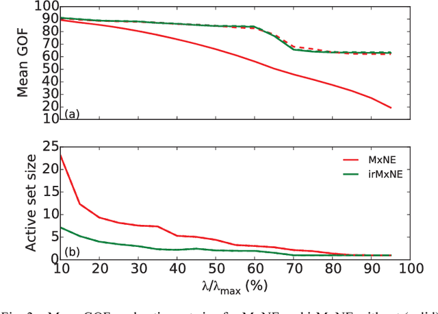
Abstract:Source imaging based on magnetoencephalography (MEG) and electroencephalography (EEG) allows for the non-invasive analysis of brain activity with high temporal and good spatial resolution. As the bioelectromagnetic inverse problem is ill-posed, constraints are required. For the analysis of evoked brain activity, spatial sparsity of the neuronal activation is a common assumption. It is often taken into account using convex constraints based on the l1-norm. The resulting source estimates are however biased in amplitude and often suboptimal in terms of source selection due to high correlations in the forward model. In this work, we demonstrate that an inverse solver based on a block-separable penalty with a Frobenius norm per block and a l0.5-quasinorm over blocks addresses both of these issues. For solving the resulting non-convex optimization problem, we propose the iterative reweighted Mixed Norm Estimate (irMxNE), an optimization scheme based on iterative reweighted convex surrogate optimization problems, which are solved efficiently using a block coordinate descent scheme and an active set strategy. We compare the proposed sparse imaging method to the dSPM and the RAP-MUSIC approach based on two MEG data sets. We provide empirical evidence based on simulations and analysis of MEG data that the proposed method improves on the standard Mixed Norm Estimate (MxNE) in terms of amplitude bias, support recovery, and stability.