Abstract:Diffusion Transformers (DiTs) achieve state-of-the-art performance in text-to-image synthesis but remain computationally expensive due to the iterative nature of denoising and the quadratic cost of global attention. In this work, we observe that denoising dynamics are spatially non-uniform-background regions converge rapidly while edges and textured areas evolve much more actively. Building on this insight, we propose SDiT, a Semantic Region-Adaptive Diffusion Transformer that allocates computation according to regional complexity. SDiT introduces a training-free framework combining (1) semantic-aware clustering via fast Quickshift-based segmentation, (2) complexity-driven regional scheduling to selectively update informative areas, and (3) boundary-aware refinement to maintain spatial coherence. Without any model retraining or architectural modification, SDiT achieves up to 3.0x acceleration while preserving nearly identical perceptual and semantic quality to full-attention inference.


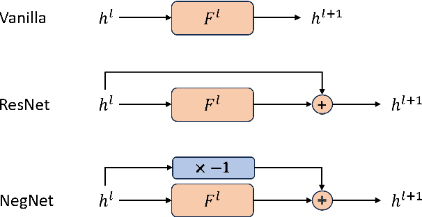
Abstract:Difference-of-Convex Algorithm (DCA) is a well-known nonconvex optimization algorithm for minimizing a nonconvex function that can be expressed as the difference of two convex ones. Many famous existing optimization algorithms, such as SGD and proximal point methods, can be viewed as special DCAs with specific DC decompositions, making it a powerful framework for optimization. On the other hand, shortcuts are a key architectural feature in modern deep neural networks, facilitating both training and optimization. We showed that the shortcut neural network gradient can be obtained by applying DCA to vanilla neural networks, networks without shortcut connections. Therefore, from the perspective of DCA, we can better understand the effectiveness of networks with shortcuts. Moreover, we proposed a new architecture called NegNet that does not fit the previous interpretation but performs on par with ResNet and can be included in the DCA framework.