



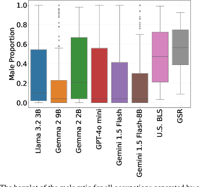
Abstract:Large Language Models (LLMs) have revolutionized natural language processing, yet concerns persist regarding their tendency to reflect or amplify social biases present in their training data. This study introduces a novel evaluation framework to uncover gender biases in LLMs, focusing on their occupational narratives. Unlike previous methods relying on structured scenarios or carefully crafted prompts, our approach leverages free-form storytelling to reveal biases embedded in the models. Systematic analyses show an overrepresentation of female characters across occupations in six widely used LLMs. Additionally, our findings reveal that LLM-generated occupational gender rankings align more closely with human stereotypes than actual labor statistics. These insights underscore the need for balanced mitigation strategies to ensure fairness while avoiding the reinforcement of new stereotypes.