Abstract:We investigate perturbations of orthonormal bases of $L^2$ via a composition operator $C_h$ induced by a mapping $h$. We provide a comprehensive characterization of the mapping $h$ required for the perturbed sequence to form an orthonormal or Riesz basis. Restricting our analysis to differentiable mappings, we reveal that all Riesz bases of the given form are induced by bi-Lipschitz mappings. In addition, we discuss implications of these results for approximation theory, highlighting the potential of using bijective neural networks to construct complete sequences with favorable approximation properties.



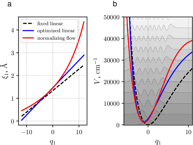
Abstract:We present a new nonlinear variational framework for simultaneously computing ground and excited states of quantum systems. Our approach is based on approximating wavefunctions in the linear span of basis functions that are augmented and optimized \emph{via} composition with normalizing flows. The accuracy and efficiency of our approach are demonstrated in the calculations of a large number of vibrational states of the triatomic H$_2$S molecule as well as ground and several excited electronic states of prototypical one-electron systems including the hydrogen atom, the molecular hydrogen ion, and a carbon atom in a single-active-electron approximation. The results demonstrate significant improvements in the accuracy of energy predictions and accelerated basis-set convergence even when using normalizing flows with a small number of parameters. The present approach can be also seen as the optimization of a set of intrinsic coordinates that best capture the underlying physics within the given basis set.
Abstract:For this final year project, the goal is to add to the published works within data synthesis for health care. The end product of this project is a trained model that generates synthesized images that can be used to expand a medical dataset (Pierre, 2021). The chosen domain for this project is the Covid-19 cough recording which is have been proven to be a viable data source for detecting Covid. This is an under-explored domain despite its huge importance because of the limited dataset available for the task. Once this model is developed its impact will be illustrated by training state-of-the-art models with and without the expanded dataset and measuring the difference in performance. Lastly, everything will be put together by embedding the model within a web application to illustrate its power. To achieve the said goals, an extensive literature review will be conducted into the recent innovations for image synthesis using generative models.