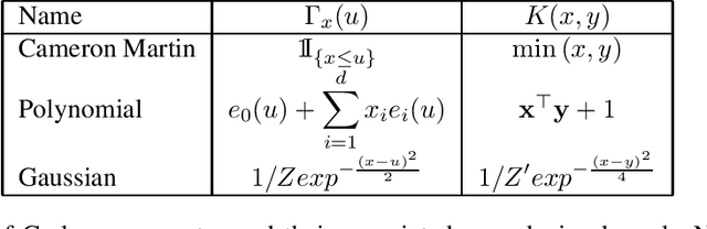
LITIS



Abstract:This paper reviews the functional aspects of statistical learning theory. The main point under consideration is the nature of the hypothesis set when no prior information is available but data. Within this framework we first discuss about the hypothesis set: it is a vectorial space, it is a set of pointwise defined functions, and the evaluation functional on this set is a continuous mapping. Based on these principles an original theory is developed generalizing the notion of reproduction kernel Hilbert space to non hilbertian sets. Then it is shown that the hypothesis set of any learning machine has to be a generalized reproducing set. Therefore, thanks to a general "representer theorem", the solution of the learning problem is still a linear combination of a kernel. Furthermore, a way to design these kernels is given. To illustrate this framework some examples of such reproducing sets and kernels are given.