


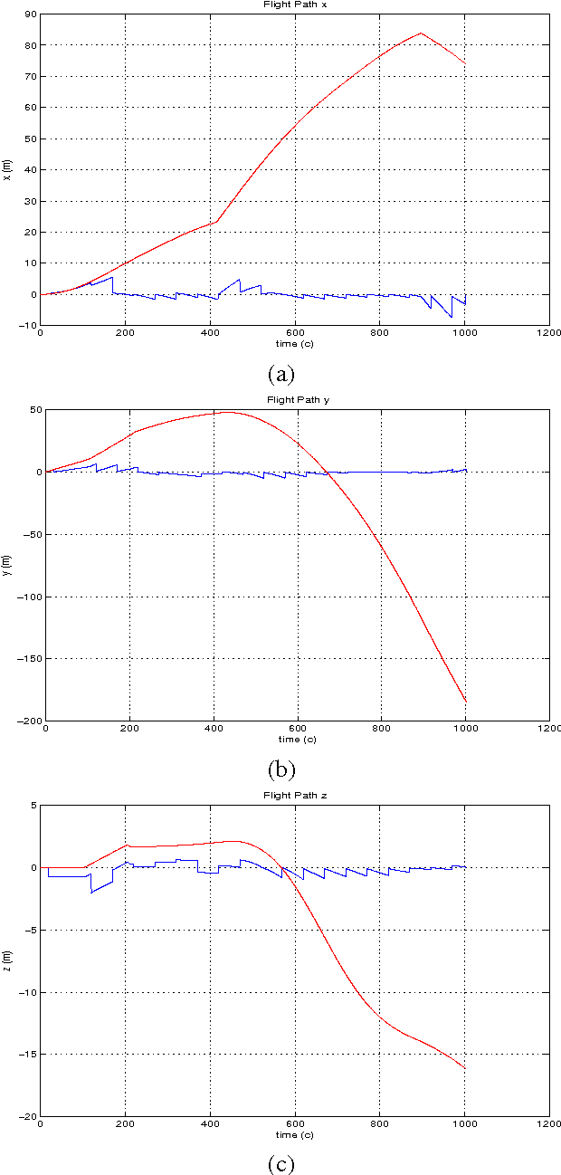
Abstract:An algorithm for pose and motion estimation using corresponding features in images and a digital terrain map is proposed. Using a Digital Terrain (or Digital Elevation) Map (DTM/DEM) as a global reference enables recovering the absolute position and orientation of the camera. In order to do this, the DTM is used to formulate a constraint between corresponding features in two consecutive frames. The utilization of data is shown to improve the robustness and accuracy of the inertial navigation algorithm. Extended Kalman filter was used to combine results of inertial navigation algorithm and proposed vision-based navigation algorithm. The feasibility of this algorithms is established through numerical simulations.
