



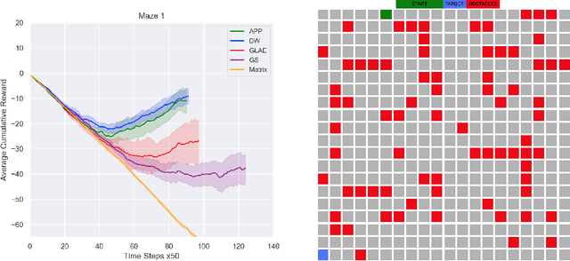
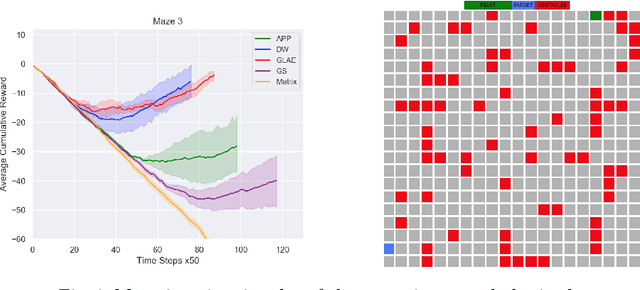
Abstract:Deep RL approaches build much of their success on the ability of the deep neural network to generate useful internal representations. Nevertheless, they suffer from a high sample-complexity and starting with a good input representation can have a significant impact on the performance. In this paper, we exploit the fact that the underlying Markov decision process (MDP) represents a graph, which enables us to incorporate the topological information for effective state representation learning. Motivated by the recent success of node representations for several graph analytical tasks we specifically investigate the capability of node representation learning methods to effectively encode the topology of the underlying MDP in Deep RL. To this end we perform a comparative analysis of several models chosen from 4 different classes of representation learning algorithms for policy learning in grid-world navigation tasks, which are representative of a large class of RL problems. We find that all embedding methods outperform the commonly used matrix representation of grid-world environments in all of the studied cases. Moreoever, graph convolution based methods are outperformed by simpler random walk based methods and graph linear autoencoders.