



Abstract:Multidimensional Index Modulations (IM) are a novel alternative to conventional modulations which can bring considerable benefits for future wireless networks. Within this scope, in this paper we present a new scheme, named as Precoding-aided Transmitter side Generalized Space-Frequency Index Modulation (PT-GSFIM), where part of the information bits select the active antennas and subcarriers which then carry amplitude and phase modulated symbols. The proposed scheme is designed for multiuser multiple-input multiple-output (MU-MIMO) scenarios and incorporates a precoder which removes multiuser interference (MUI) at the receivers. Furthermore, the proposed PT-GSFIM also integrates signal space diversity (SSD) techniques for tackling the typical poor performance of uncoded orthogonal frequency division multiplexing (OFDM) based schemes. By combining complex rotation matrices (CRM) and subcarrier-level interleaving, PT-GSFIM can exploit the inherent diversity in frequency selective channels and improve the performance without additional power or bandwidth. To support reliable detection of the multidimensional PT-GSFIM we also propose three different detection algorithms which can provide different tradeoffs between performance and complexity. Simulation results shows that proposed PT-GSFIM scheme, can provide significant gains over conventional MU-MIMO and GSM schemes.




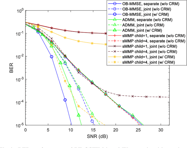
Abstract:Millimeter-wave and terahertz technologies have been attracting attention from the wireless research community since they can offer large underutilized bandwidths which can enable the support of ultra-high-speed connections in future wireless communication systems. While the high signal attenuation occurring at these frequencies requires the adoption of very large (or the so-called ultra-massive) antenna arrays, in order to accomplish low complexity and low power consumption, hybrid analog/digital designs must be adopted. In this paper we present a hybrid design algorithm suitable for both mmWave and THz multiuser multiple-input multiple-output (MIMO) systems, which comprises separate computation steps for the digital precoder, analog precoder and multiuser interference mitigation. The design can also incorporate different analog architectures such as phase shifters, switches and inverters, antenna selection and so on. Furthermore, it is also applicable for different structures namely, fully connected, arrays of subarrays (AoSA) and dynamic arrays of subarrays (DAoSA), making it suitable for the support of ultra-massive MIMO (UM-MIMO) in severely hardware constrained THz systems. We will show that, by using the proposed approach, it is possible to achieve good trade-offs between spectral efficiency and simplified implementation, even as the number of users and data streams increases.)