Abstract:In this paper, we propose a multi-user downlink system for two users based on the orthogonal time frequency space (OTFS) modulation scheme. The design leverages the generalized singular value decomposition (GSVD) of the channels between the base station and the two users, applying precoding and detection matrices based on the right and left singular vectors, respectively. We derive the analytical expressions for three scenarios and present the corresponding simulation results. These results demonstrate that, in terms of bit error rate (BER), the proposed system outperforms the conventional multi-user OTFS system in two scenarios when using minimum mean square error (MMSE) equalizers or precoder, both for perfect channel state information and for a scenario with channel estimation errors. In the third scenario, the design is equivalent to zero-forcing (ZF) precoding at the transmitter.



Abstract:In recent years, reconfigurable intelligent surface (RIS) has emerged as an appealing technology due to its potential capability to enhance the performance of wireless networks with a low-cost and low energy-consumption. Most works often assume continuous phase-shits at the RIS elements for the transmit and passive beamforming optimization. However, practical hardware limitations often impose a reduced number of available phase shifts at the RIS elements which can lead to substantial performance loss. Therefore, to harvest the gains of RIS-assisted multi-stream multiple-input multiple-output (MIMO) communications under the constraint of discrete-valued phases shifts, this correspondence proposes an iterative algorithm that can efficiently tackle the mixed integer non-linear optimization problem associated to the maximization of the achievable rate over the transmit precoder and RIS elements. Simulation results demonstrate that the proposed design can be very effective, especially when using low-resolution phase-shifts.




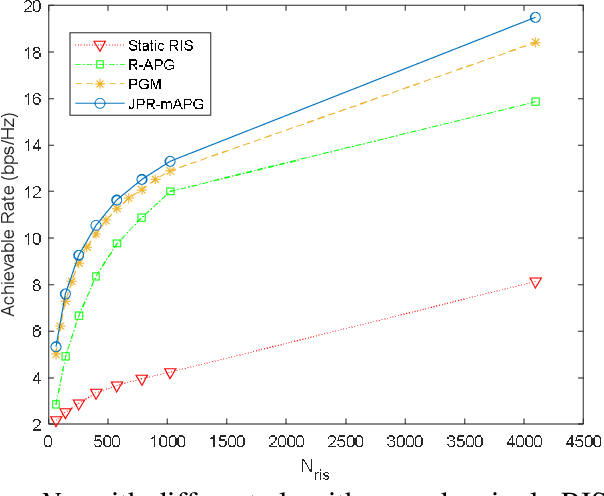
Abstract:In recent years there has been a growing interest in reconfigurable intelligent surfaces (RISs) as enablers for the realization of smart radio propagation environments which can provide performance improvements with low energy consumption in future wireless networks. However, to reap the potential gains of RIS it is crucial to jointly design both the transmit precoder and the phases of the RIS elements. Within this context, in this paper we study the use of multiple RIS panels in a parallel or multi-hop configuration with the aim of assisting a multi-stream multiple-input multiple-output (MIMO) communication. To solve the nonconvex joint optimization problem of the precoder and RIS elements targeted at maximizing the achievable rate, we propose an iterative algorithm based on the monotone accelerated proximal gradient (mAPG) method which includes an extrapolation step for improving the convergence speed and monitoring variables for ensuring sufficient descent of the algorithm. Based on the sufficient descent property we then present a detailed convergence analysis of the algorithm which includes expressions for the step size. Simulation results in different scenarios show that, besides being effective, the proposed approach can often achieve higher rates than other benchmarked schemes.




Abstract:Multidimensional Index Modulations (IM) are a novel alternative to conventional modulations which can bring considerable benefits for future wireless networks. Within this scope, in this paper we present a new scheme, named as Precoding-aided Transmitter side Generalized Space-Frequency Index Modulation (PT-GSFIM), where part of the information bits select the active antennas and subcarriers which then carry amplitude and phase modulated symbols. The proposed scheme is designed for multiuser multiple-input multiple-output (MU-MIMO) scenarios and incorporates a precoder which removes multiuser interference (MUI) at the receivers. Furthermore, the proposed PT-GSFIM also integrates signal space diversity (SSD) techniques for tackling the typical poor performance of uncoded orthogonal frequency division multiplexing (OFDM) based schemes. By combining complex rotation matrices (CRM) and subcarrier-level interleaving, PT-GSFIM can exploit the inherent diversity in frequency selective channels and improve the performance without additional power or bandwidth. To support reliable detection of the multidimensional PT-GSFIM we also propose three different detection algorithms which can provide different tradeoffs between performance and complexity. Simulation results shows that proposed PT-GSFIM scheme, can provide significant gains over conventional MU-MIMO and GSM schemes.




Abstract:Millimeter-wave and terahertz technologies have been attracting attention from the wireless research community since they can offer large underutilized bandwidths which can enable the support of ultra-high-speed connections in future wireless communication systems. While the high signal attenuation occurring at these frequencies requires the adoption of very large (or the so-called ultra-massive) antenna arrays, in order to accomplish low complexity and low power consumption, hybrid analog/digital designs must be adopted. In this paper we present a hybrid design algorithm suitable for both mmWave and THz multiuser multiple-input multiple-output (MIMO) systems, which comprises separate computation steps for the digital precoder, analog precoder and multiuser interference mitigation. The design can also incorporate different analog architectures such as phase shifters, switches and inverters, antenna selection and so on. Furthermore, it is also applicable for different structures namely, fully connected, arrays of subarrays (AoSA) and dynamic arrays of subarrays (DAoSA), making it suitable for the support of ultra-massive MIMO (UM-MIMO) in severely hardware constrained THz systems. We will show that, by using the proposed approach, it is possible to achieve good trade-offs between spectral efficiency and simplified implementation, even as the number of users and data streams increases.)