



Abstract:The issue of fairness in decision-making is a critical one, especially given the variety of stakeholder demands for differing and mutually incompatible versions of fairness. Adopting a strategic interaction of perspectives provides an alternative to enforcing a singular standard of fairness. We present a web-based software application, FairPlay, that enables multiple stakeholders to debias datasets collaboratively. With FairPlay, users can negotiate and arrive at a mutually acceptable outcome without a universally agreed-upon theory of fairness. In the absence of such a tool, reaching a consensus would be highly challenging due to the lack of a systematic negotiation process and the inability to modify and observe changes. We have conducted user studies that demonstrate the success of FairPlay, as users could reach a consensus within about five rounds of gameplay, illustrating the application's potential for enhancing fairness in AI systems.




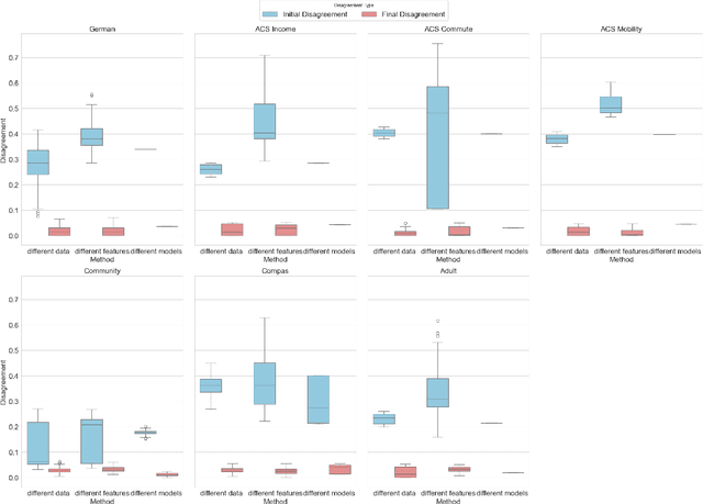
Abstract:Many machine learning applications predict individual probabilities, such as the likelihood that a person develops a particular illness. Since these probabilities are unknown, a key question is how to address situations in which different models trained on the same dataset produce varying predictions for certain individuals. This issue is exemplified by the model multiplicity (MM) phenomenon, where a set of comparable models yield inconsistent predictions. Roth, Tolbert, and Weinstein recently introduced a reconciliation procedure, the Reconcile algorithm, to address this problem. Given two disagreeing models, the algorithm leverages their disagreement to falsify and improve at least one of the models. In this paper, we empirically analyze the Reconcile algorithm using five widely-used fairness datasets: COMPAS, Communities and Crime, Adult, Statlog (German Credit Data), and the ACS Dataset. We examine how Reconcile fits within the model multiplicity literature and compare it to existing MM solutions, demonstrating its effectiveness. We also discuss potential improvements to the Reconcile algorithm theoretically and practically. Finally, we extend the Reconcile algorithm to the setting of causal inference, given that different competing estimators can again disagree on specific causal average treatment effect (CATE) values. We present the first extension of the Reconcile algorithm in causal inference, analyze its theoretical properties, and conduct empirical tests. Our results confirm the practical effectiveness of Reconcile and its applicability across various domains.