Abstract:Recommender systems in online marketplaces face the challenge of balancing multiple objectives to satisfy various stakeholders, including customers, providers, and the platform itself. This paper introduces Juggler-MAB, a hybrid approach that combines meta-learning with Multi-Armed Bandits (MAB) to address the limitations of existing multi-stakeholder recommendation systems. Our method extends the Juggler framework, which uses meta-learning to predict optimal weights for utility and compensation adjustments, by incorporating a MAB component for real-time, context-specific refinements. We present a two-stage approach where Juggler provides initial weight predictions, followed by MAB-based adjustments that adapt to rapid changes in user behavior and market conditions. Our system leverages contextual features such as device type and brand to make fine-grained weight adjustments based on specific segments. To evaluate our approach, we developed a simulation framework using a dataset of 0.6 million searches from Expedia's lodging booking platform. Results show that Juggler-MAB outperforms the original Juggler model across all metrics, with NDCG improvements of 2.9%, a 13.7% reduction in regret, and a 9.8% improvement in best arm selection rate.




Abstract:Collaborative Filtering (CF) has become the standard approach to solve recommendation systems (RS) problems. Collaborative Filtering algorithms try to make predictions about interests of a user by collecting the personal interests from multiple users. There are multiple CF algorithms, each one of them with its own biases. It is the Machine Learning practitioner that has to choose the best algorithm for each task beforehand. In Recommender Systems, different algorithms have different performance for different users within the same dataset. Meta Learning (MtL) has been used to choose the best algorithm for a given problem. Meta Learning is usually applied to select algorithms for a whole dataset. Adapting it to select the to the algorithm for a single user in a RS involves several challenges. The most important is the design of the metafeatures which, in typical meta learning, characterize datasets while here, they must characterize a single user. This work presents a new meta-learning based framework named $\mu$-cf2vec to select the best algorithm for each user. We propose using Representation Learning techniques to extract the metafeatures. Representation Learning tries to extract representations that can be reused in other learning tasks. In this work we also implement the framework using different RL techniques to evaluate which one can be more useful to solve this task. In the meta level, the meta learning model will use the metafeatures to extract knowledge that will be used to predict the best algorithm for each user. We evaluated an implementation of this framework using MovieLens 20M dataset. Our implementation achieved consistent gains in the meta level, however, in the base level we only achieved marginal gains.




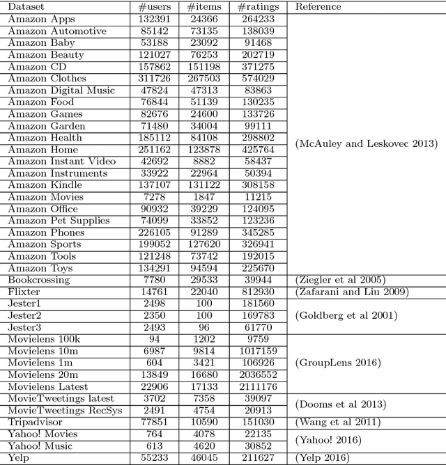
Abstract:To select the best algorithm for a new problem is an expensive and difficult task. However, there are automatic solutions to address this problem: using Metalearning, which takes advantage of problem characteristics (i.e. metafeatures), one is able to predict the relative performance of algorithms. In the Collaborative Filtering scope, recent works have proposed diverse metafeatures describing several dimensions of this problem. Despite interesting and effective findings, it is still unknown whether these are the most effective metafeatures. Hence, this work proposes a new set of graph metafeatures, which approach the Collaborative Filtering problem from a Graph Theory perspective. Furthermore, in order to understand whether metafeatures from multiple dimensions are a better fit, we investigate the effects of comprehensive metafeatures. These metafeatures are a selection of the best metafeatures from all existing Collaborative Filtering metafeatures. The impact of the most representative metafeatures is investigated in a controlled experimental setup. Another contribution we present is the use of a Pareto-Efficient ranking procedure to create multicriteria metatargets. These new rankings of algorithms, which take into account multiple evaluation measures, allow to explore the algorithm selection problem in a fairer and more detailed way. According to the experimental results, the graph metafeatures are a good alternative to related work metafeatures. However, the results have shown that the feature selection procedure used to create the comprehensive metafeatures is is not effective, since there is no gain in predictive performance. Finally, an extensive metaknowledge analysis was conducted to identify the most influential metafeatures.