



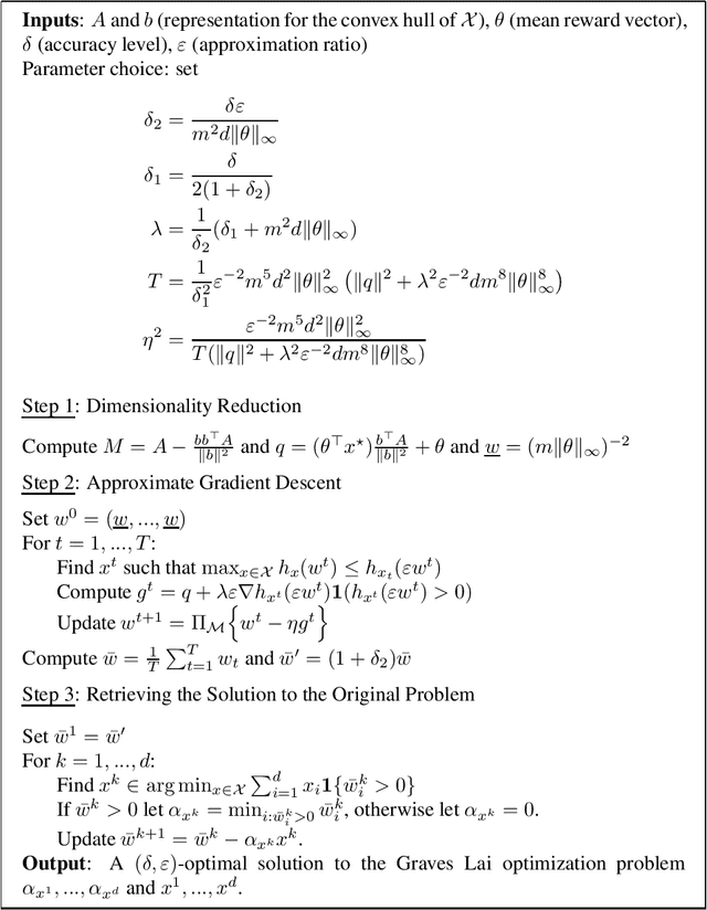
Abstract:We consider combinatorial semi-bandits with uncorrelated Gaussian rewards. In this article, we propose the first method, to the best of our knowledge, that enables to compute the solution of the Graves-Lai optimization problem in polynomial time for many combinatorial structures of interest. In turn, this immediately yields the first known approach to implement asymptotically optimal algorithms in polynomial time for combinatorial semi-bandits.




Abstract:We consider combinatorial semi-bandits over a set of arms ${\cal X} \subset \{0,1\}^d$ where rewards are uncorrelated across items. For this problem, the algorithm ESCB yields the smallest known regret bound $R(T) = {\cal O}\Big( {d (\ln m)^2 (\ln T) \over \Delta_{\min} }\Big)$, but it has computational complexity ${\cal O}(|{\cal X}|)$ which is typically exponential in $d$, and cannot be used in large dimensions. We propose the first algorithm which is both computationally and statistically efficient for this problem with regret $R(T) = {\cal O} \Big({d (\ln m)^2 (\ln T)\over \Delta_{\min} }\Big)$ and computational complexity ${\cal O}(T {\bf poly}(d))$. Our approach involves carefully designing an approximate version of ESCB with the same regret guarantees, showing that this approximate algorithm can be implemented in time ${\cal O}(T {\bf poly}(d))$ by repeatedly maximizing a linear function over ${\cal X}$ subject to a linear budget constraint, and showing how to solve this maximization problems efficiently.