Abstract:Large Language Models (LLMs) represent a major step toward artificial general intelligence, significantly advancing our ability to interact with technology. While LLMs perform well on Natural Language Processing tasks -- such as translation, generation, code writing, and summarization -- questions remain about their output similarity, variability, and ethical implications. For instance, how similar are texts generated by the same model? How does this compare across different models? And which models best uphold ethical standards? To investigate, we used 5{,}000 prompts spanning diverse tasks like generation, explanation, and rewriting. This resulted in approximately 3 million texts from 12 LLMs, including proprietary and open-source systems from OpenAI, Google, Microsoft, Meta, and Mistral. Key findings include: (1) outputs from the same LLM are more similar to each other than to human-written texts; (2) models like WizardLM-2-8x22b generate highly similar outputs, while GPT-4 produces more varied responses; (3) LLM writing styles differ significantly, with Llama 3 and Mistral showing higher similarity, and GPT-4 standing out for distinctiveness; (4) differences in vocabulary and tone underscore the linguistic uniqueness of LLM-generated content; (5) some LLMs demonstrate greater gender balance and reduced bias. These results offer new insights into the behavior and diversity of LLM outputs, helping guide future development and ethical evaluation.




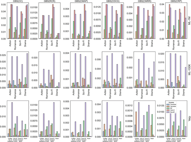
Abstract:Recommendation systems are now an integral part of our daily lives. We rely on them for tasks such as discovering new movies, finding friends on social media, and connecting job seekers with relevant opportunities. Given their vital role, we must ensure these recommendations are free from societal stereotypes. Therefore, evaluating and addressing such biases in recommendation systems is crucial. Previous work evaluating the fairness of recommended items fails to capture certain nuances as they mainly focus on comparing performance metrics for different sensitive groups. In this paper, we introduce a set of comprehensive metrics for quantifying gender bias in recommendations. Specifically, we show the importance of evaluating fairness on a more granular level, which can be achieved using our metrics to capture gender bias using categories of recommended items like genres for movies. Furthermore, we show that employing a category-aware fairness metric as a regularization term along with the main recommendation loss during training can help effectively minimize bias in the models' output. We experiment on three real-world datasets, using five baseline models alongside two popular fairness-aware models, to show the effectiveness of our metrics in evaluating gender bias. Our metrics help provide an enhanced insight into bias in recommended items compared to previous metrics. Additionally, our results demonstrate how incorporating our regularization term significantly improves the fairness in recommendations for different categories without substantial degradation in overall recommendation performance.




Abstract:Artificial Intelligence (AI) models are now being utilized in all facets of our lives such as healthcare, education and employment. Since they are used in numerous sensitive environments and make decisions that can be life altering, potential biased outcomes are a pressing matter. Developers should ensure that such models don't manifest any unexpected discriminatory practices like partiality for certain genders, ethnicities or disabled people. With the ubiquitous dissemination of AI systems, researchers and practitioners are becoming more aware of unfair models and are bound to mitigate bias in them. Significant research has been conducted in addressing such issues to ensure models don't intentionally or unintentionally perpetuate bias. This survey offers a synopsis of the different ways researchers have promoted fairness in AI systems. We explore the different definitions of fairness existing in the current literature. We create a comprehensive taxonomy by categorizing different types of bias and investigate cases of biased AI in different application domains. A thorough study is conducted of the approaches and techniques employed by researchers to mitigate bias in AI models. Moreover, we also delve into the impact of biased models on user experience and the ethical considerations to contemplate when developing and deploying such models. We hope this survey helps researchers and practitioners understand the intricate details of fairness and bias in AI systems. By sharing this thorough survey, we aim to promote additional discourse in the domain of equitable and responsible AI.