



Abstract:Binary embedding of high-dimensional data aims to produce low-dimensional binary codes while preserving discriminative power. State-of-the-art methods often suffer from high computation and storage costs. We present a simple and fast embedding scheme by first downsampling N-dimensional data into M-dimensional data and then multiplying the data with an MxM circulant matrix. Our method requires O(N +M log M) computation and O(N) storage costs. We prove if data have sparsity, our scheme can achieve similarity-preserving well. Experiments further demonstrate that though our method is cost-effective and fast, it still achieves comparable performance in image applications.


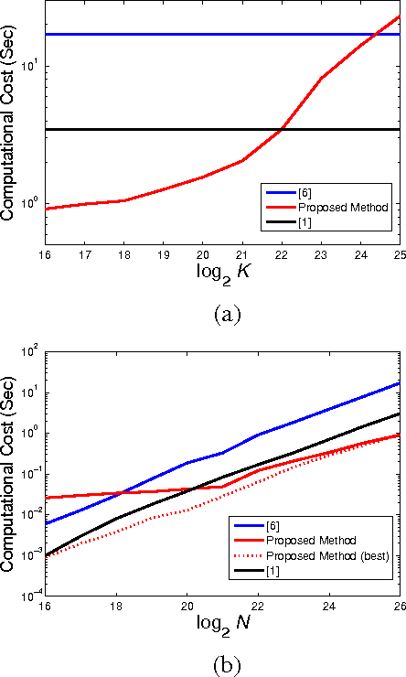
Abstract:Template matching is widely used for many applications in image and signal processing and usually is time-critical. Traditional methods usually focus on how to reduce the search locations by coarse-to-fine strategy or full search combined with pruning strategy. However, the computation cost of those methods is easily dominated by the size of signal N instead of that of template K. This paper proposes a probabilistic and fast matching scheme, which computation costs requires O(N) additions and O(K \log K) multiplications, based on cross-correlation. The nuclear idea is to first downsample signal, which size becomes O(K), and then subsequent operations only involves downsampled signals. The probability of successful match depends on cross-correlation between signal and the template. We show the sufficient condition for successful match and prove that the probability is high for binary signals with K^2/log K >= O(N). The experiments shows this proposed scheme is fast and efficient and supports the theoretical results.