



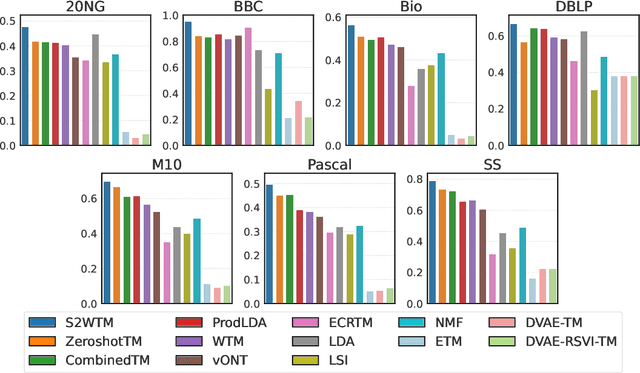
Abstract:Modeling latent representations in a hyperspherical space has proven effective for capturing directional similarities in high-dimensional text data, benefiting topic modeling. Variational autoencoder-based neural topic models (VAE-NTMs) commonly adopt the von Mises-Fisher prior to encode hyperspherical structure. However, VAE-NTMs often suffer from posterior collapse, where the KL divergence term in the objective function highly diminishes, leading to ineffective latent representations. To mitigate this issue while modeling hyperspherical structure in the latent space, we propose the Spherical Sliced Wasserstein Autoencoder for Topic Modeling (S2WTM). S2WTM employs a prior distribution supported on the unit hypersphere and leverages the Spherical Sliced-Wasserstein distance to align the aggregated posterior distribution with the prior. Experimental results demonstrate that S2WTM outperforms state-of-the-art topic models, generating more coherent and diverse topics while improving performance on downstream tasks.
Abstract:The explosive growth of textual data over time presents a significant challenge in uncovering evolving themes and trends. Existing dynamic topic modeling techniques, while powerful, often exist in fragmented pipelines that lack robust support for interpretation and user-friendly exploration. We introduce DTECT (Dynamic Topic Explorer & Context Tracker), an end-to-end system that bridges the gap between raw textual data and meaningful temporal insights. DTECT provides a unified workflow that supports data preprocessing, multiple model architectures, and dedicated evaluation metrics to analyze the topic quality of temporal topic models. It significantly enhances interpretability by introducing LLM-driven automatic topic labeling, trend analysis via temporally salient words, interactive visualizations with document-level summarization, and a natural language chat interface for intuitive data querying. By integrating these features into a single, cohesive platform, DTECT empowers users to more effectively track and understand thematic dynamics. DTECT is open-source and available at https://github.com/AdhyaSuman/DTECT.




Abstract:Topic modeling is a widely used approach for analyzing and exploring large document collections. Recent research efforts have incorporated pre-trained contextualized language models, such as BERT embeddings, into topic modeling. However, they often neglect the intrinsic informational value conveyed by mutual dependencies between words. In this study, we introduce GINopic, a topic modeling framework based on graph isomorphism networks to capture the correlation between words. By conducting intrinsic (quantitative as well as qualitative) and extrinsic evaluations on diverse benchmark datasets, we demonstrate the effectiveness of GINopic compared to existing topic models and highlight its potential for advancing topic modeling.




Abstract:The TCPD-IPD dataset is a collection of questions and answers discussed in the Lower House of the Parliament of India during the Question Hour between 1999 and 2019. Although it is difficult to analyze such a huge collection manually, modern text analysis tools can provide a powerful means to navigate it. In this paper, we perform an exploratory analysis of the dataset. In particular, we present insightful corpus-level statistics and a detailed analysis of three subsets of the dataset. In the latter analysis, the focus is on understanding the temporal evolution of topics using a dynamic topic model. We observe that the parliamentary conversation indeed mirrors the political and socio-economic tensions of each period.




Abstract:Dropout is a widely used regularization trick to resolve the overfitting issue in large feedforward neural networks trained on a small dataset, which performs poorly on the held-out test subset. Although the effectiveness of this regularization trick has been extensively studied for convolutional neural networks, there is a lack of analysis of it for unsupervised models and in particular, VAE-based neural topic models. In this paper, we have analyzed the consequences of dropout in the encoder as well as in the decoder of the VAE architecture in three widely used neural topic models, namely, contextualized topic model (CTM), ProdLDA, and embedded topic model (ETM) using four publicly available datasets. We characterize the dropout effect on these models in terms of the quality and predictive performance of the generated topics.
Abstract:Topic modeling is a dominant method for exploring document collections on the web and in digital libraries. Recent approaches to topic modeling use pretrained contextualized language models and variational autoencoders. However, large neural topic models have a considerable memory footprint. In this paper, we propose a knowledge distillation framework to compress a contextualized topic model without loss in topic quality. In particular, the proposed distillation objective is to minimize the cross-entropy of the soft labels produced by the teacher and the student models, as well as to minimize the squared 2-Wasserstein distance between the latent distributions learned by the two models. Experiments on two publicly available datasets show that the student trained with knowledge distillation achieves topic coherence much higher than that of the original student model, and even surpasses the teacher while containing far fewer parameters than the teacher's. The distilled model also outperforms several other competitive topic models on topic coherence.




Abstract:Topic modeling has emerged as a dominant method for exploring large document collections. Recent approaches to topic modeling use large contextualized language models and variational autoencoders. In this paper, we propose a negative sampling mechanism for a contextualized topic model to improve the quality of the generated topics. In particular, during model training, we perturb the generated document-topic vector and use a triplet loss to encourage the document reconstructed from the correct document-topic vector to be similar to the input document and dissimilar to the document reconstructed from the perturbed vector. Experiments for different topic counts on three publicly available benchmark datasets show that in most cases, our approach leads to an increase in topic coherence over that of the baselines. Our model also achieves very high topic diversity.