Abstract:This paper evaluates the performance of reconfigurable intelligent surface (RIS) optimization algorithms, which utilize channel estimation methods, in ray tracing (RT) simulations within urban digital twin environments. Beyond Sionna's native capabilities, we implement and benchmark additional RIS optimization algorithms based on channel estimation, enabling an evaluation of RIS strategies under various deployment conditions. Coverage maps for RIS-assisted communication systems are generated through the integration of Sionna's RT simulations. Moreover, real-world experimentation underscores the necessity of validating algorithms in near-realistic simulation environments, as minor variations in measurement setups can significantly affect performance.




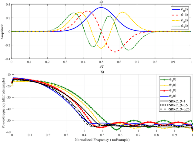
Abstract:Emerging systems such as Internet-of-things (IoT) and machine-to-machine (M2M) communications have strict requirements on the power consumption of used equipments and associated complexity in the transceiver design. As a result, multiple-input multiple-output (MIMO) solutions might not be directly suitable for these system due to their high complexity, inter-antenna synchronization (IAS) requirement, and high inter-antenna interference (IAI) problems. In order to overcome these problems, we propose two novel index modulation (IM) schemes, namely pulse index modulation (PIM) and generalized PIM (GPIM) for single-input single-output (SISO) schemes. The proposed models use well-localized and orthogonal Hermite-Gaussian pulses for data transmission and provide high spectral efficiency owing to the Hermite-Gaussian pulse indices. Besides, it has been shown via analytical derivations and computer simulations that the proposed PIM and GPIM systems have better error performance and considerable signal-to-noise ratio (SNR) gain compared to existing spatial modulation (SM), quadrature SM (QSM), and traditional M-ary systems.