



Abstract:Emotion artificial intelligence is a field of study that focuses on figuring out how to recognize emotions, especially in the area of text mining. Today is the age of social media which has opened a door for us to share our individual expressions, emotions, and perspectives on any event. We can analyze sentiment on social media posts to detect positive, negative, or emotional behavior toward society. One of the key challenges in sentiment analysis is to identify depressed text from social media text that is a root cause of mental ill-health. Furthermore, depression leads to severe impairment in day-to-day living and is a major source of suicide incidents. In this paper, we apply natural language processing techniques on Facebook texts for conducting emotion analysis focusing on depression using multiple machine learning algorithms. Preprocessing steps like stemming, stop word removal, etc. are used to clean the collected data, and feature extraction techniques like stylometric feature, TF-IDF, word embedding, etc. are applied to the collected dataset which consists of 983 texts collected from social media posts. In the process of class prediction, LSTM, GRU, support vector machine, and Naive-Bayes classifiers have been used. We have presented the results using the primary classification metrics including F1-score, and accuracy. This work focuses on depression detection from social media posts to help psychologists to analyze sentiment from shared posts which may reduce the undesirable behaviors of depressed individuals through diagnosis and treatment.




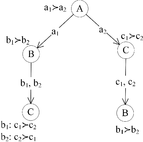
Abstract:The Conditional Preference Network (CP-net) graphically represents user's qualitative and conditional preference statements under the ceteris paribus interpretation. The constrained CP-net is an extension of the CP-net, to a set of constraints. The existing algorithms for solving the constrained CP-net require the expensive dominance testing operation. We propose three approaches to tackle this challenge. In our first solution, we alter the constrained CP-net by eliciting additional relative importance statements between variables, in order to have a total order over the outcomes. We call this new model, the constrained Relative Importance Network (constrained CPR-net). Consequently, We show that the Constrained CPR-net has one single optimal outcome (assuming the constrained CPR-net is consistent) that we can obtain without dominance testing. In our second solution, we extend the Lexicographic Preference Tree (LP-tree) to a set of constraints. Then, we propose a recursive backtrack search algorithm, that we call Search-LP, to find the most preferable outcome. We prove that the first feasible outcome returned by Search-LP (without dominance testing) is also preferable to any other feasible outcome. Finally, in our third solution, we preserve the semantics of the CP-net and propose a divide and conquer algorithm that compares outcomes according to dominance testing.