



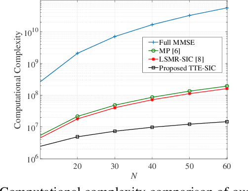
Abstract:Orthogonal time frequency space (OTFS) is a promising candidate waveform for the next generation wireless communication systems. OTFS places data in the delay-Doppler (DD) domain, which simplifies channel estimation in highmobility scenarios. However, due to the 2-D convolution effect of the time-varying channel in the DD domain, equalization is still a challenge for OTFS. Existing equalizers for OTFS are either highly complex or they do not consider intercarrier interference present in high-mobility scenarios. Hence, in this paper, we propose a novel two-stage detection technique for coded OTFS systems. Our proposed detector brings orders of magnitude computational complexity reduction compared to existing methods. At the first stage, it truncates the channel by considering only the significant coefficients along the Doppler dimension and performs turbo equalization. To reduce the computational load of the turbo equalizer, our proposed method deploys the modified LSQR (mLSQR) algorithm. At the second stage, with only two successive interference cancellation (SIC) iterations, our proposed detector removes the residual interference caused by channel truncation. To evaluate the performance of our proposed truncated turbo equalizer with SIC (TTE-SIC), we set the minimum mean squared error (MMSE) equalizer without channel truncation as a benchmark. Our simulation results show that the proposed TTE-SIC technique achieves about the same bit error rate (BER) performance as the benchmark.




Abstract:Orthogonal time frequency space (OTFS) modulation has recently emerged as a potential 6G candidate waveform which provides improved performance in high-mobility scenarios. In this paper we investigate the combination of OTFS with non-orthogonal multiple access (NOMA). Existing equalization and detection methods for OTFS-NOMA, such as minimum-mean-squared error with successive interference cancellation (MMSE-SIC), suffer from poor performance. Additionally, existing iterative methods for single-user OTFS based on low-complexity iterative least-squares solvers are not directly applicable to the NOMA scenario due to the presence of multi-user interference (MUI). Motivated by this, in this paper we propose a low-complexity method for equalization and detection for OTFS-NOMA. The proposed method uses a novel reliability zone (RZ) detection scheme which estimates the reliable symbols of the users and then uses interference cancellation to remove MUI. The thresholds for the RZ detector are optimized in a greedy manner to further improve detection performance. In order to optimize these thresholds, we modify the least squares with QR-factorization (LSQR) algorithm used for channel equalization to compute the the post-equalization mean-squared error (MSE), and track the evolution of this MSE throughout the iterative detection process. Numerical results demonstrate the superiority of the proposed equalization and detection technique to the existing MMSE-SIC benchmark in terms of symbol error rate (SER).




Abstract:Orthogonal time frequency space (OTFS) modulation has recently emerged as a potential 6G candidate waveform which provides improved performance in high-mobility scenarios. In this paper we investigate the combination of OTFS with non-orthogonal multiple access (NOMA). Existing equalization and detection methods for OTFS-NOMA, such as minimum-mean-squared error with successive interference cancellation (MMSE-SIC), suffer from poor performance. Additionally, existing iterative methods for single-user OTFS based on low-complexity iterative least-squares solvers are not directly applicable to the NOMA scenario due to the presence of multi-user interference (MUI). Motivated by this, in this paper we propose a low-complexity method for equalization and detection for OTFS-NOMA. Our proposed method uses an iterative process where in each iteration, an equalizer based on the least-squares with QR factorization (LSQR) algorithm is followed by a novel reliability zone (RZ) detection scheme which estimates the reliable symbols of the users and then uses interference cancellation to remove MUI. We present numerical results which demonstrate the superiority of our proposed method, in terms of symbol error rate (SER), to the existing MMSE-SIC benchmark scheme. Additionally, we present results which illustrate that a judicious choice of RZ thresholds is important for optimizing the performance of the proposed algorithm.



Abstract:6G wireless networks will require the flexibility to accommodate an extremely diverse set of service types. This necessitates the use of mixed numerologies to accommodate different quality of service (QoS) requirements. Non-orthogonal multiple access (NOMA) techniques can potentially be used to accommodate users with different numerologies while also gaining the performance benefits associated with NOMA. To achieve the full performance benefits of a mixed numerology NOMA (MN-NOMA) system, resource allocation among the users is paramount. However, the coexistence of mixed numerologies changes the nature of the interference that each user experiences. This means that techniques used in single-numerology NOMA (SN-NOMA) are no longer sufficient. In light of this, we approach the problem of optimizing subcarrier and power allocation for maximizing the spectral efficiency of MN-NOMA while considering a minimum rate constraint for each user. In this letter, we propose a two-stage sub-optimal approach to solve the problem. We present numerical results which show the superiority of our proposed method over existing benchmark schemes in both spectral efficiency and fairness.