Abstract:Despite the promise of Neural Posterior Estimation (NPE) methods in astronomy, the adaptation of NPE into the routine inference workflow has been slow. We identify three critical issues: the need for custom featurizer networks tailored to the observed data, the inference inexactness, and the under-specification of physical forward models. To address the first two issues, we introduce a new framework and open-source software nbi (Neural Bayesian Inference), which supports both amortized and sequential NPE. First, nbi provides built-in "featurizer" networks with demonstrated efficacy on sequential data, such as light curve and spectra, thus obviating the need for this customization on the user end. Second, we introduce a modified algorithm SNPE-IS, which facilities asymptotically exact inference by using the surrogate posterior under NPE only as a proposal distribution for importance sampling. These features allow nbi to be applied off-the-shelf to astronomical inference problems involving light curves and spectra. We discuss how nbi may serve as an effective alternative to existing methods such as Nested Sampling. Our package is at https://github.com/kmzzhang/nbi.




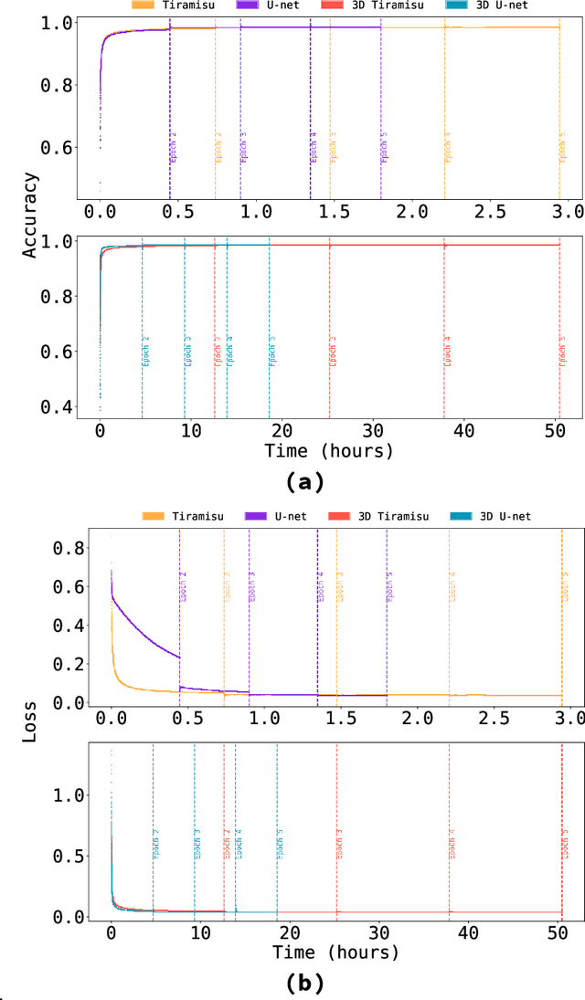
Abstract:Fiber-reinforced ceramic-matrix composites are advanced materials resistant to high temperatures, with application to aerospace engineering. Their analysis depends on the detection of embedded fibers, with semi-supervised techniques usually employed to separate fibers within the fiber beds. Here we present an open computational pipeline to detect fibers in ex-situ X-ray computed tomography fiber beds. To separate the fibers in these samples, we tested four different architectures of fully convolutional neural networks. When comparing our neural network approach to a semi-supervised one, we obtained Dice and Matthews coefficients greater than $92.28 \pm 9.65\%$, reaching up to $98.42 \pm 0.03 \%$, showing that the network results are close to the human-supervised ones in these fiber beds, in some cases separating fibers that human-curated algorithms could not find. The software we generated in this project is open source, released under a permissive license, and can be freely adapted and re-used in other domains. All data and instructions on how to download and use it are also available.