



Abstract:Recent advancements in artificial intelligence (AI) and machine learning (ML) algorithms, coupled with the availability of faster computing infrastructure, have enhanced the security posture of cybersecurity operations centers (defenders) through the development of ML-aided network intrusion detection systems (NIDS). Concurrently, the abilities of adversaries to evade security have also increased with the support of AI/ML models. Therefore, defenders need to proactively prepare for evasion attacks that exploit the detection mechanisms of NIDS. Recent studies have found that the perturbation of flow-based and packet-based features can deceive ML models, but these approaches have limitations. Perturbations made to the flow-based features are difficult to reverse-engineer, while samples generated with perturbations to the packet-based features are not playable. Our methodological framework, Deep PackGen, employs deep reinforcement learning to generate adversarial packets and aims to overcome the limitations of approaches in the literature. By taking raw malicious network packets as inputs and systematically making perturbations on them, Deep PackGen camouflages them as benign packets while still maintaining their functionality. In our experiments, using publicly available data, Deep PackGen achieved an average adversarial success rate of 66.4\% against various ML models and across different attack types. Our investigation also revealed that more than 45\% of the successful adversarial samples were out-of-distribution packets that evaded the decision boundaries of the classifiers. The knowledge gained from our study on the adversary's ability to make specific evasive perturbations to different types of malicious packets can help defenders enhance the robustness of their NIDS against evolving adversarial attacks.



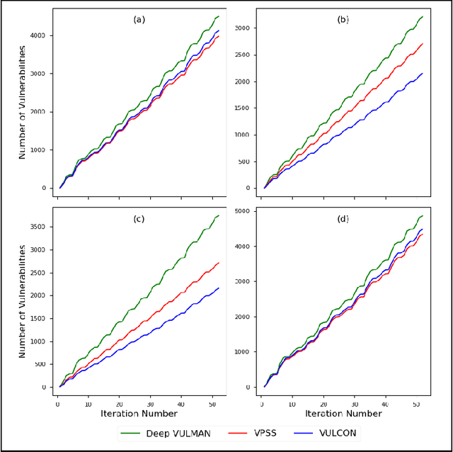
Abstract:Cyber vulnerability management is a critical function of a cybersecurity operations center (CSOC) that helps protect organizations against cyber-attacks on their computer and network systems. Adversaries hold an asymmetric advantage over the CSOC, as the number of deficiencies in these systems is increasing at a significantly higher rate compared to the expansion rate of the security teams to mitigate them in a resource-constrained environment. The current approaches are deterministic and one-time decision-making methods, which do not consider future uncertainties when prioritizing and selecting vulnerabilities for mitigation. These approaches are also constrained by the sub-optimal distribution of resources, providing no flexibility to adjust their response to fluctuations in vulnerability arrivals. We propose a novel framework, Deep VULMAN, consisting of a deep reinforcement learning agent and an integer programming method to fill this gap in the cyber vulnerability management process. Our sequential decision-making framework, first, determines the near-optimal amount of resources to be allocated for mitigation under uncertainty for a given system state and then determines the optimal set of prioritized vulnerability instances for mitigation. Our proposed framework outperforms the current methods in prioritizing the selection of important organization-specific vulnerabilities, on both simulated and real-world vulnerability data, observed over a one-year period.