



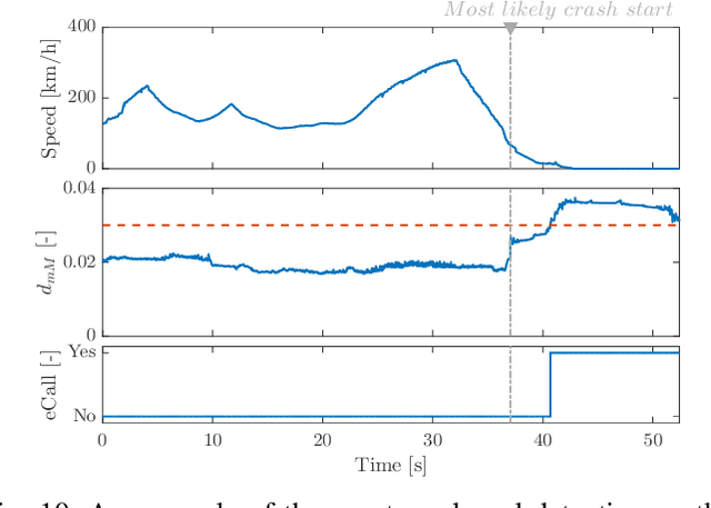
Abstract:The automatic dial of an emergency call - eCall - in response to a road accident is a feature that is gaining interest in the intelligent vehicle community. It indirectly increases the driving safety of road vehicles, but presents the technical challenge of developing an algorithm which triggers the emergency call only when needed, a non-trivial task for two-wheeled vehicles due to their complex dynamics. In the present work, we propose an eCall algorithm that detects these anomalies in the data time series, thanks to the cepstral analysis. The main advantage of the proposed approach is the direct focus on the data dynamics, solving the limits of approaches based on the analysis of the instantaneous value of some signals combination. The algorithm is calibrated and tested against real driving data of ten different drivers, including seven real crash events, and performance are compared with known methods.




Abstract:Smartphone usage while driving is unanimously considered to be a really dangerous habit due to strong correlation with road accidents. In this paper, the problem of detecting whether the driver is using the phone during a trip is addressed. To do this, high-frequency data from the triaxial inertial measurement unit (IMU) integrated in almost all modern phone is processed without relying on external inputs so as to provide a self-contained approach. By resorting to a frequency-domain analysis, it is possible to extract from the raw signals the useful information needed to detect when the driver is using the phone, without being affected by the effects that vehicle motion has on the same signals. The selected features are used to train a Support Vector Machine (SVM) algorithm. The performance of the proposed approach are analyzed and tested on experimental data collected during mixed naturalistic driving scenarios, proving the effectiveness of the proposed approach.