Abstract:AI is a magnificent field that directly and profoundly touches on numerous disciplines ranging from philosophy, computer science, engineering, mathematics, decision and data science and economics, to cognitive science, neuroscience and more. The number of applications and impact of AI is second to none and the potential of AI to broadly impact future science developments is particularly thrilling. While attempts to understand knowledge, reasoning, cognition and learning go back centuries, AI remains a relatively new field. In part due to the fact it has so many wide-ranging overlaps with other disparate fields it appears to have trouble developing a robust identity and culture. Here we suggest that contrasting the fast-moving AI culture to biological and biomedical sciences is both insightful and useful way to inaugurate a healthy tradition needed to envision and manage our ascent to AGI and beyond (independent of the AI Platforms used). The co-evolution of AI and Biomedical Science offers many benefits to both fields. In a previous perspective, we suggested that biomedical laboratories or centers can usefully embrace logistic traditions in AI labs that will allow them to be highly collaborative, improve the reproducibility of research, reduce risk aversion and produce faster mentorship pathways for PhDs and fellows. This perspective focuses on the benefits to AI by adapting features of biomedical science at higher, primarily cultural levels.

Abstract:AI Safety has become a vital front-line concern of many scientists within and outside the AI community. There are many immediate and long term anticipated risks that range from existential risk to human existence to deep fakes and bias in machine learning systems [1-5]. In this paper, we reduce the full scope and immense complexity of AI safety concerns to a trilogy of three important but tractable opportunities for advances that have the short-term potential to improve AI safety and reliability without reducing AI innovation in critical domains. In this perspective, we discuss this vision based on several case studies that already produced proofs of concept in critical ML applications in biomedical science.




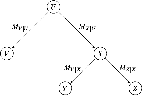
Abstract:In this paper we propose a dynamic data structure that supports efficient algorithms for updating and querying singly connected Bayesian networks (causal trees and polytrees). In the conventional algorithms, new evidence in absorbed in time O(1) and queries are processed in time O(N), where N is the size of the network. We propose a practical algorithm which, after a preprocessing phase, allows us to answer queries in time O(log N) at the expense of O(logn N) time per evidence absorption. The usefulness of sub-linear processing time manifests itself in applications requiring (near) real-time response over large probabilistic databases.