



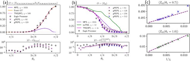
Abstract:We show how quantum-inspired 2d tensor networks can be used to efficiently and accurately simulate the largest quantum processors from IBM, namely Eagle (127 qubits), Osprey (433 qubits) and Condor (1121 qubits). We simulate the dynamics of a complex quantum many-body system -- specifically, the kicked Ising experiment considered recently by IBM in Nature 618, p. 500-505 (2023) -- using graph-based Projected Entangled Pair States (gPEPS), which was proposed by some of us in PRB 99, 195105 (2019). Our results show that simple tensor updates are already sufficient to achieve very large unprecedented accuracy with remarkably low computational resources for this model. Apart from simulating the original experiment for 127 qubits, we also extend our results to 433 and 1121 qubits, and for evolution times around 8 times longer, thus setting a benchmark for the newest IBM quantum machines. We also report accurate simulations for infinitely-many qubits. Our results show that gPEPS are a natural tool to efficiently simulate quantum computers with an underlying lattice-based qubit connectivity, such as all quantum processors based on superconducting qubits.