Abstract:"mdendro" is an R package that provides a comprehensive collection of linkage methods for agglomerative hierarchical clustering on a matrix of proximity data (distances or similarities), returning a multifurcated dendrogram or multidendrogram. Multidendrograms can group more than two clusters at the same time, solving the nonuniqueness problem that arises when there are ties in the data. This problem causes that different binary dendrograms are possible depending both on the order of the input data and on the criterion used to break ties. Weighted and unweighted versions of the most common linkage methods are included in the package, which also implements two parametric linkage methods. In addition, package "mdendro" provides five descriptive measures to analyze the resulting dendrograms: cophenetic correlation coefficient, space distortion ratio, agglomerative coefficient, chaining coefficient and tree balance.




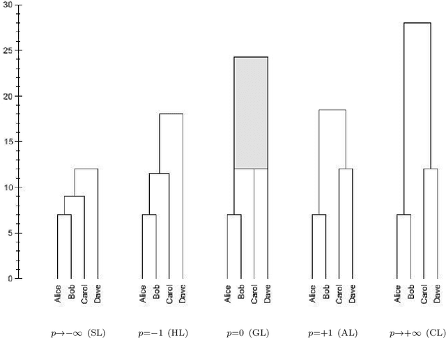
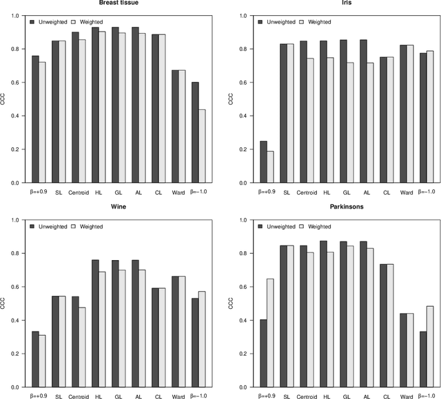
Abstract:Agglomerative hierarchical clustering can be implemented with several strategies that differ in the way elements of a collection are grouped together to build a hierarchy of clusters. Here we introduce versatile linkage, a new infinite system of agglomerative hierarchical clustering strategies based on generalized means, which go from single linkage to complete linkage, passing through arithmetic average linkage and other clustering methods yet unexplored such as geometric linkage and harmonic linkage. We compare the different clustering strategies in terms of cophenetic correlation, mean absolute error, and also tree balance and space distortion, two new measures proposed to describe hierarchical trees. Unlike the $\beta$-flexible clustering system, we show that the versatile linkage family is space-conserving.




Abstract:This paper describes a framework for modeling the interface between perception and memory on the algorithmic level of analysis. It is consistent with phenomena associated with many different brain regions. These include view-dependence (and invariance) effects in visual psychophysics and inferotemporal cortex physiology, as well as episodic memory recall interference effects associated with the medial temporal lobe. The perspective developed here relies on a novel interpretation of Hubel and Wiesel's conjecture for how receptive fields tuned to complex objects, and invariant to details, could be achieved. It complements existing accounts of two-speed learning systems in neocortex and hippocampus (e.g., McClelland et al. 1995) while significantly expanding their scope to encompass a unified view of the entire pathway from V1 to hippocampus.