



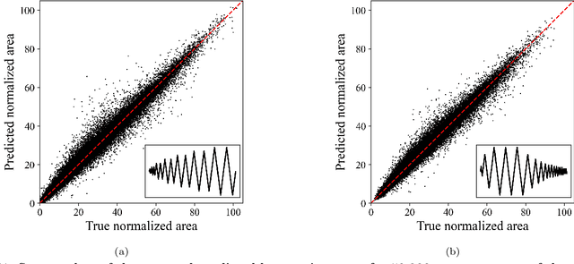
Abstract:This study proposes a modularized deep learning-based loading protocol for optimal parameter estimation of Bouc-Wen (BW) class models. The protocol consists of two key components: optimal loading history construction and CNN-based rapid parameter estimation. Each component is decomposed into independent sub-modules tailored to distinct hysteretic behaviors-basic hysteresis, structural degradation, and pinching effect-making the protocol adaptable to diverse hysteresis models. Three independent CNN architectures are developed to capture the path-dependent nature of these hysteretic behaviors. By training these CNN architectures on diverse loading histories, minimal loading sequences, termed \textit{loading history modules}, are identified and then combined to construct an optimal loading history. The three CNN models, trained on the respective loading history modules, serve as rapid parameter estimators. Numerical evaluation of the protocol, including nonlinear time history analysis of a 3-story steel moment frame and fragility curve construction for a 3-story reinforced concrete frame, demonstrates that the proposed protocol significantly reduces total analysis time while maintaining or improving estimation accuracy. The proposed protocol can be extended to other hysteresis models, suggesting a systematic approach for identifying general hysteresis models.